本文提出一种利用稳态体感诱电位(SSSEP)振幅客观评估左右手感觉能力差异的新指标。研究招募了一名上肢截肢者和十三名健全受试者。每位受试者需在心理物理测试中辨别三个不同等级的电刺激频率,同时记录诱发的SSSEP。研究人员计算了每个刺激频率等级下的SSSEP振幅与辨别准确率,进而量化了左右手刺激所对应的SSSEP振幅差与辨别准确率差之间的关联性。结果表明,左右手刺激的SSSEP振幅差与辨别准确率差之间存在正线性相关(R² = 0.7137)。SSSEP振幅特征或可作为一种评估左右手感觉能力差异的潜在客观指标。
一、介绍
感觉能力的评估对于恢复缺失的感觉功能具有重要意义。对于截肢者而言,感觉能力评估可用于旨在改善残肢侧感觉能力的训练阶段。对于脑卒中患者,感觉能力评估也可作为脑损伤的指标。学界已投入大量努力探索感觉能力评估方法,然而现有研究主要依赖问卷和视觉模拟量表,这些方法受个体主观影响,无法客观表征大脑的感觉响应。因此,寻找客观的感觉能力评估指标仍是重要挑战。
上肢截肢后,体感皮层区域的可塑性重组已获实验验证。由于残肢侧体感输入丧失及健肢侧体感输入增加,皮层截肢区的侵袭伴随着健侧手指表征区域显著扩大。因此多数截肢者的残肢侧与健肢侧之间可能存在感觉能力差异。需要更客观的方法评估这种差异,以更好反映大脑响应与生理感觉之间的关联。
脑电图作为一种无创成像工具,凭借高时间分辨率与便携性在临床神经障碍评估中广泛应用。稳态体感诱电位作为脑电图的一种类型,是呈现正弦波形的大脑响应,其时间频率与驱动刺激相同。通过时频分析检测周期性响应,可识别施加于受试者的刺激频率,这意味感觉传导通路的存在。此外,SSSEP的稳定性与分布特征已得到阐明。既往研究中,研究人员曾利用体感诱电位的潜伏期和峰值振幅评估周围神经病变。基于以上启示,我们探究了SSSEP响应与生理感觉之间的相关性,发现SSSEP振幅可作为评估左右手感觉能力的客观指标,该指标的有效性已通过实验验证。
二、实验方法
01.受试者
受试者包括一名左手腕部截肢的女性截肢者和十三名健全受试者(3名女性,10名男性,年龄范围21-26岁)。实验方案遵循《赫尔辛基宣言》。所有受试者在参与前均签署知情同意书,了解实验内容与流程。
02.预实验
人类感觉系统存在特定的共振范围。预实验的目的是确定个体特异性的刺激频率以及能够诱发SSSEP的可行刺激频率范围。其结果将用于正式实验中刺激频率的选择。十名受试者参与了预实验。对于健全受试者,七种不同频率的电刺激施加于左右手的食指。对于截肢者,选择残肢上的食指投射区域作为刺激部位。研究人员使用21至41赫兹范围内的频率进行刺激。在接近26赫兹时频率间隔为2赫兹,远离26赫兹时频率间隔为5或6赫兹。刺激电流幅度为3毫安,脉冲宽度设为200微秒。每个频率水平采集20个试次。个体特异性刺激频率的选择标准是:在该频率下诱发的SSSEP振幅最高且无明显伪迹。
03.实验范式
十四名受试者参与了结合脑电记录与心理物理测试的正式实验。受试者坐在电磁屏蔽室内的舒适扶手椅上,前臂置于扶手上。对每位受试者的左右手食指施加三个水平的刺激频率。这三个频率水平的选择基于预实验结果。每个频率包括30个试次,以随机顺序呈现给受试者。
实验流程如图1(a)所示。每个试次开始时,黑色屏幕持续1秒用于放松。第1秒时,屏幕上出现注视十字,提示受试者注意并准备后续任务。3秒后,开始持续4秒的电刺激。在此期间,受试者需感知电刺激并辨别其频率水平。电刺激停止后,受试者开始执行辨别报告任务,报告刚才体验到的刺激频率水平。最后,每个辨别报告任务后插入约3至5秒的随机休息时间,以避免受试者适应。之后开始下一个试次。

图1. 实验流程与装置示意图。
(a) 实验范式。每个试次包含电刺激阶段与辨别报告任务。
(b) 实验装置。装置包括脑电记录系统与电刺激系统。脑电信号采用Neuroscan系统采集,该系统由放大器和脑电帽组成。电刺激设备为配备隔离器的Master 9商用仪器,可将恒定电压转换为恒定电流输出。
(c) 脑电通道分布示意图。图中红点标识的通道为SSSEP分析所选取的目标电极。
04.实验设备与数据采集
本研究设计了两套实验设备,如图1(b)所示。
第一套是用于记录脑电信号的脑电系统。采用SynAmps2系统记录62通道脑电信号,电极位置根据扩展的10/20系统放置。参考电极位于头顶,接地电极位于前额。对原始信号施加0.5赫兹至200赫兹的模拟带宽滤波器和50赫兹的陷波滤波器以削弱工频干扰,采样频率为1000赫兹。

深圳市富临神通科技有限公司(原“东莞市富临塑胶原料有限公司”)是 AMPI中国代理商,我们为客户提供Master-8、Master-9等电刺激产品。
第二套是用于向受试者施加电刺激的电刺激系统。研究人员使用Master-9脉冲刺激器配合两侧的隔离器产生双相矩形电流脉冲串,以最小化平均电荷积累和组织损伤。采用柔性电路板制成的铜电极阵列作为刺激接口。常规刺激参数如下:电流幅度3毫安,脉冲宽度200微秒。
05.数据分析与统计
我们采用刺激频率下诱发SSSEP的振幅作为脑电分析的特征。每个试次的数据被分割为基线期与任务期。实际分析中,将刺激起始时间定义为0秒。
我们将对侧与同侧半球目标电极上,分段数据在关注频率f处的快速傅里叶变换振幅记为Amp(f)。目标电极通道如图1(c)所示,包括左半球的FC3、C5、C3、C1、CP3通道,以及右半球的FC4、C6、C4、C2、CP4通道。对于每个刺激频率,左右手各有15个试次。针对特定频率下左右手刺激的大脑偏侧化响应定义为

其中Ampᵢ(f)对侧与Ampᵢ(f)同侧分别表示当左手或右手在频率f下受到刺激时(i代表L或R),对侧半球与同侧半球目标电极的SSSEP平均振幅。需要说明的是,SSSEP振幅是经基线校准后的相对振幅。
随后,在特定刺激频率下,左右手刺激之间的大脑响应差异被定义为:

正确率是本研究采用的一种行为学参数。它指在相同电刺激参数下,回答正确的试次数占总试次数的比例。针对三个水平的刺激频率,我们将左手刺激的正确率定义为AR_L(f)。相应地,右手刺激的正确率则记为AR_R(f)。
进而,在特定刺激频率下,左右手刺激对应的心理物理测试辨别正确率差异被定义为:

最后,研究人员分析了ΔAmp(f)与ΔAR(f)之间的相关性,以揭示大脑响应与生理感觉之间的关联,从而验证该客观指标用于评估左右手感觉能力差异的可行性。
通过单因素方差分析检验了左右手个体特异性电刺激频率之间的差异,并采用线性拟合函数探究ΔAmp(f)与ΔAR(f)的相关性。
三、实验结果
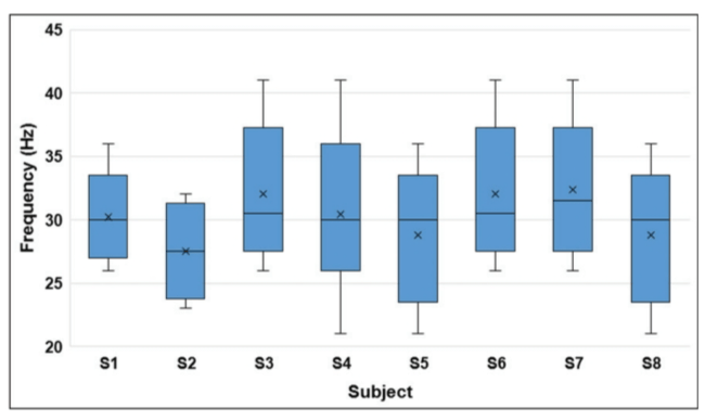
在预实验中,有三名受试者未能通过电刺激诱发出SSSEP信号。另有一名受试者在脑电记录时出现明显躯体运动,其数据被排除。对于其余受试者,计算了每个刺激频率水平下的SSSEP振幅。图2展示了各受试者左右手的个体特异性电刺激频率。十名受试者的个体特异性电刺激频率均集中在30赫兹附近,且左右手之间无显著差异。SSSEP的可行刺激频率范围如图3所示。在25至35赫兹频段内,几乎所有受试者均能明显诱发出SSSEP;在20至40赫兹频段内,多数受试者可产生适用于进一步分析的SSSEP信号。因此,研究选定20至40赫兹作为SSSEP的可行频率范围。

图2. 各受试者左右手的个体特异性电刺激频率。S1代表截肢者,其余编号代表健全受试者。

图3. 可诱发SSSEP的有效刺激频率范围图示。
基于预实验结果,正式实验选取了20赫兹、30赫兹和40赫兹三个水平的电刺激频率。图4展示了左右手刺激下,SSSEP振幅差与心理物理测试辨别正确率差之间的相关性。研究发现两类差异之间存在正向线性拟合关系,决定系数R²为0.7137。该结果验证了大脑响应与生理感觉之间具有良好的线性相关性。

图4. 左右手刺激下SSSEP振幅差与心理物理测试辨别正确率差之间的线性相关性图示。
同时,采用Fieldtrip工具箱分析了大脑对三个刺激频率水平的事件相关谱扰动。为提取SSSEP特征,选取了低于刺激频率0.5赫兹至高于刺激频率0.5赫兹的频段。图5对比了截肢者与一名健康受试者的ERSP空间分布。结果显示,无论是截肢者还是健康受试者,刺激频率越高,SSSEP的功率越强。当刺激频率为40赫兹时,其他脑区可能参与任务并产生伪迹。而在30赫兹刺激下,SSSEP响应明显且伪迹较少,这与预实验中个体特异性电刺激频率的结果一致。
四、讨论与结论
本研究通过同步实施脑电与电刺激实验,探究了大脑对相同电刺激的响应与生理感觉之间的关联性。结果表明,左右手刺激对应的SSSEP振幅差与心理物理测试辨别正确率差之间存在正向线性拟合关系,这证实了采用更客观的指标评估左右手感觉能力差异的可行性。与依赖问卷和视觉模拟量表的传统评估方法相比,脑电实验能更深入地揭示体感皮层的响应特征。SSSEP振幅有望成为评估左右手感觉能力差异的潜在客观指标。
然而,SSSEP的响应主要集中于特定频率范围,这可能是人类感觉系统特定共振频率范围所致。这一原理可能对心理物理测试中三个刺激频率水平的选择形成一定限制。此外,如图5所示,截肢者的SSSEP响应主要集中在体感区,这与截肢者残肢皮肤上存在的诱发触觉及投射手指图谱现象相符。我们注意到,截肢者的ERSP空间分布中SSSEP响应强于四号受试者,该现象在本研究中尚未得到明确阐释。因此,未来将在临床中招募更多截肢者以验证本研究的适用性。

图5. 受试者1(截肢者)与受试者4的典型ERSP空间分布对比图。
综上所述,左右手刺激的SSSEP振幅差与左右手心理物理测试辨别正确率差呈正线性相关。SSSEP振幅特征可作为评估左右手感觉能力差异的客观指标,并可进一步应用于感觉反馈研究。
深圳市富临神通科技有限公司(原“东莞市富临塑胶原料有限公司”)是 AMPI中国代理商,采购Master-8、Master-9等电刺激产品请立即联系我们。
