激光诱导压力波法(LIPP)是测量固体绝缘材料的常用方法之一,在采用LIPP进行空间电荷测量时,不同激励方案会诱导产生不同压力波,并影响电荷测量结果。但目前鲜有研究讨论激励方案对压力波特性以及测量信号波形、空间分辨率和信噪比的影响。
华北电力大学新能源电力系统全国重点实验室李庆民教授团队基于激光烧蚀致声效应,搭建了压力波压电传感测量装置,结合构建的激光诱导弹性波传播仿真模型,阐释了不同激励参数对压力波特性的影响机制。同时遴选了LIPP测量装置最优激励方案,为LIPP空间电荷测量系统的激励方案设计与压力波传播机制研究提供一定参考。

研究背景
固体聚合物绝缘材料拥有良好的介电特性,其绝缘性能一直是国内外学者研究的热点。LIPP作为测量固体绝缘材料性能的常用方法之一,其测量分辨率受限于激光激励压力脉冲质量。
现有研究多聚焦于各参数对最终测量信号的影响,但着眼于激光烧蚀靶电极产生的压力脉冲,深入剖析测量参数对弹性波信号影响的作用机制的研究仍然较少。故有必要针对激励模块参数对压力波特性的影响进行探索,厘清弹性波信号与影响因素、电荷信号与弹性波信号之间变化规律。
论文所解决的问题及意义
本文聚焦于激励侧参数对诱导压力波特性的影响,搭建了压力波压电探测和LIPP法测量平台,分析了激励侧参数对压力波与空间电荷测量结果的影响特性。结合构建的激光诱导压力波传播仿真模型,分析了基于激光烧蚀效应的压力波产生及传播过程,阐释了不同激励方案对压力波特性的影响机制,遴选出适配于所提出的LIPP法测量装置的最优激励方案。该研究成果可为激光诱导压力波法激励方案设计与压力波传播机制,以及LIPP法空间电荷测量系统测量可靠性提升提供参考。
论文方法及创新点
本文针对LIPP法测量分辨率受限于压力波特性影响的问题,搭建了压力波压电传感测量装置和LIPP电荷测量系统,结合激光诱导弹性波传播仿真模型,阐释了不同激励方案对压力波特性的影响机制,并遴选出了适配于所提出的LIPP法测量装置的最优激励方案,空间分辨率达到14 μm。
图1 LIPP 法空间电荷测量系统
图1 LIPP 法空间电荷测量系统
点击添加图片描述(最多60个字)
研究发现激励侧参数对压力波产生和电荷测量信号结果有显著影响,并阐释了不同激励参数对压力波特性的影响机制,通过对强场极化下聚酰亚胺空间电荷测量结果的分析,证明了所提出的激励方案的有效性,为LIPP法激励方案设计与压力波传播机制研究提供了思路。
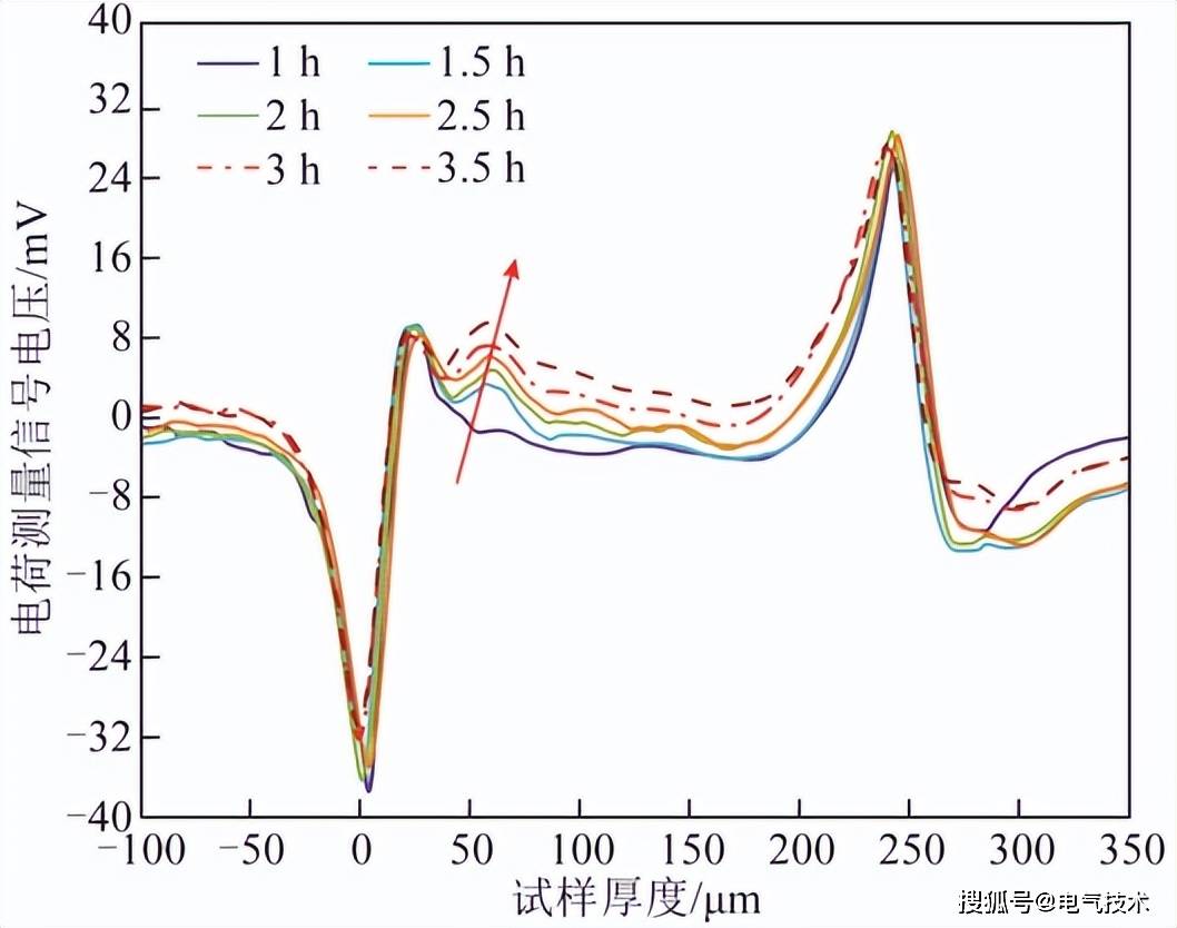
图3 18 kV/mm下 LIPP 法空间电荷分布 编辑
结论
实验结果表明,压力波激励波形与电荷信号均会受到激光参数与靶电极材料的影响,压力波与电荷信号幅值均与激光单脉冲能量呈正相关;同时发现受高斯光束传播衍射衰减过程和靶电极烧蚀面积的影响,压力波幅值随光斑直径的增大呈对数增长;研究还证实在相同激光参数下,通过铝电极喷涂微米级雾化石墨喷剂,可以提高压力波强度,使系统分辨率达到14 μm。
团队介绍

面向国家未来电网发展的重大技术需求,先进输电装备与智能化研究团队依托华北电力大学新能源电力系统国家重点实验室、高电压与电磁兼容北京市重点实验室等科研平台,先后主持国家重点研发计划2项、国家自然科学基金19项(其中重大和重点5项)、国家重大专项课题1项、973计划和863计划子课题4项以及各类科研课题70余项,重点针对高压交直流GIS/GIL、高性能绝缘与电接触材料、光电子学微纳传感与测量、新能源系统雷击物理及防护等方向开展创新研究。团队现有专职教师4人,其中教授3人,副教授1人;研究生90余人,其中博士研究生18人,硕士研究生70余人。

李庆民,华北电力大学电气与电子工程学院高电压与绝缘技术研究所教授,博士生导师。现任高电压与电磁兼容北京市重点实验室主任,新能源电力系统国家重点实验室高压研究室主任。研究方向包括高压交直流GIS/GIL;高性能绝缘与电接触材料;光电子学微纳传感与测量;新能源系统雷击物理及防护等。

马一丹,硕士,现就职于国网四川省电力公司德阳供电公司,研究方向为固体电介质空间电荷测量技术。
本工作成果发表在2025年第15期《电工技术学报》,论文标题为“激励侧参数对激光诱导压力波特性的影响与空间电荷测量精度提升方法“。本课题为国家自然科学基金、河北省省级科技计划和中央高校基本科研业务费专项资金资助项目。